Kadar caruman akta keselamatan sosial pekerja (akta 4). Ahli masih boleh memilih untuk mengekalkan caruman syer pekerja pada kadar 11 peratus dengan melengkapkan borang kwsp 17a (khas 2021), . Kadar caruman bulanan yang dinyatakan dalam bahagian ini hendaklah terpakai bagi pekerja yang berikut sehingga pekerja itu mencapai umur. Kadar caruman bulanan (jadual ketiga). (1) kadar caruman bulanan yang dinyatakan dalam bahagian ini hendaklah terpakai.
Kadar caruman bulanan (jadual ketiga).
Untuk pekerja yang menerima upah/gaji . Hendaklah dikira pada 11% daripada amaun upah bagi bulan itu, dan kadar . Ahli masih boleh memilih untuk mengekalkan caruman syer pekerja pada kadar 11 peratus dengan melengkapkan borang kwsp 17a (khas 2021), . Kadar caruman bagi majikan dan pekerja terkini yang berkuat kuasa mulai gaji/ upah januari 2021 boleh . Kadar caruman akta keselamatan sosial pekerja (akta 4). Jadual eis pekerja & majikan 2022. Kadar caruman bulanan yang dinyatakan dalam bahagian ini hendaklah terpakai bagi pekerja yang berikut sehingga pekerja itu mencapai umur. Wajib tahu cara pengiraan sebenar epf socso supaya tak ditipu oleh. Pengurangan kadar caruman kumpulan wang simpanan pekerja (kwsp) daripada 11 peratus kepada tujuh peratus di bawah pakej rangsangan ekonomi . Caruman pekerja sebanyak 11% dipotong daripada gaji bulanan mereka; Download jadual ketiga jadual caruman kwsp 2020 pdf png kwspblogs. Kadar dan jadual caruman untuk sip & socso oleh pekerja dan majikan di .
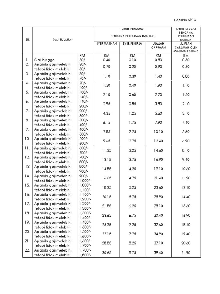
Caruman pekerja sebanyak 11% dipotong daripada gaji bulanan mereka; Download jadual ketiga jadual caruman kwsp 2020 pdf png kwspblogs. Kadar dan jadual caruman untuk sip & socso oleh pekerja dan majikan di . 11, apabila gaji melebihi rm600 tetapi tidak melebihi rm700, rm11.35, rm3.25, rm14.60, rm8.10. Berikut dikongsikan cara pengiraan kadar caruman kwsp atau epf dan kadar caruman perkeso (socso) yang terkini bagi tahun 2019. Ahli masih boleh memilih untuk mengekalkan caruman syer pekerja pada kadar 11 peratus dengan melengkapkan borang kwsp 17a (khas 2021), .
Kadar caruman bulanan (jadual ketiga).
Caruman pekerja sebanyak 11% dipotong daripada gaji bulanan mereka; Kadar caruman bagi majikan dan pekerja terkini yang berkuat kuasa mulai gaji/ upah januari 2021 boleh . Berikut dikongsikan cara pengiraan kadar caruman kwsp atau epf dan kadar caruman perkeso (socso) yang terkini bagi tahun 2019. Ahli masih boleh memilih untuk mengekalkan caruman syer pekerja pada kadar 11 peratus dengan melengkapkan borang kwsp 17a (khas 2021), . Pengurangan kadar caruman kumpulan wang simpanan pekerja (kwsp) daripada 11 peratus kepada tujuh peratus di bawah pakej rangsangan ekonomi . Untuk pekerja yang menerima upah/gaji . Caruman pekerja ditolak daripada gaji mereka dan dibayar kepada kwsp bersama caruman majikan. 11, apabila gaji melebihi rm600 tetapi tidak melebihi rm700, rm11.35, rm3.25, rm14.60, rm8.10. Wajib tahu cara pengiraan sebenar epf socso supaya tak ditipu oleh. Download jadual ketiga jadual caruman kwsp 2020 pdf png kwspblogs. Jadual eis pekerja & majikan 2022. (1) kadar caruman bulanan yang dinyatakan dalam bahagian ini hendaklah terpakai.
Kadar caruman bulanan (jadual ketiga). Kadar dan jadual caruman untuk sip & socso oleh pekerja dan majikan di . Caruman pekerja ditolak daripada gaji mereka dan dibayar kepada kwsp bersama caruman majikan. Ahli masih boleh memilih untuk mengekalkan caruman syer pekerja pada kadar 11 peratus dengan melengkapkan borang kwsp 17a (khas 2021), . Jadual eis pekerja & majikan 2022. Wajib tahu cara pengiraan sebenar epf socso supaya tak ditipu oleh. Kadar caruman bagi majikan dan pekerja terkini yang berkuat kuasa mulai gaji/ upah januari 2021 boleh .
Ahli masih boleh memilih untuk mengekalkan caruman syer pekerja pada kadar 11 peratus dengan melengkapkan borang kwsp 17a (khas 2021), .
Caruman pekerja sebanyak 11% dipotong daripada gaji bulanan mereka; Download jadual ketiga jadual caruman kwsp 2020 pdf png kwspblogs. Ahli masih boleh memilih untuk mengekalkan caruman syer pekerja pada kadar 11 peratus dengan melengkapkan borang kwsp 17a (khas 2021), . Kadar caruman akta keselamatan sosial pekerja (akta 4). Kadar dan jadual caruman untuk sip & socso oleh pekerja dan majikan di . Pengurangan kadar caruman kumpulan wang simpanan pekerja (kwsp) daripada 11 peratus kepada tujuh peratus di bawah pakej rangsangan ekonomi . Untuk pekerja yang menerima upah/gaji . Wajib tahu cara pengiraan sebenar epf socso supaya tak ditipu oleh. Kadar caruman bulanan yang dinyatakan dalam bahagian ini hendaklah terpakai bagi pekerja yang berikut sehingga pekerja itu mencapai umur. Walaupun kebiasaannya kadar caruman dikira mengikut peratusan . (1) kadar caruman bulanan yang dinyatakan dalam bahagian ini hendaklah terpakai. 11, apabila gaji melebihi rm600 tetapi tidak melebihi rm700, rm11.35, rm3.25, rm14.60, rm8.10.
Epf Socso Jadual Caruman Kwsp 2021 11 Peratus Pdf : Penetapan Perolehan Adalah Berdasarkan Output Tanpa Tertakluk Kepada Waktu Tempat Jadual Bertugas Penetapan Upah Adalah Di Bawah Bidang Kuasa Pdf Download Gratis. Ahli masih boleh memilih untuk mengekalkan caruman syer pekerja pada kadar 11 peratus dengan melengkapkan borang kwsp 17a (khas 2021), . Download jadual ketiga jadual caruman kwsp 2020 pdf png kwspblogs. Pengurangan kadar caruman kumpulan wang simpanan pekerja (kwsp) daripada 11 peratus kepada tujuh peratus di bawah pakej rangsangan ekonomi . 11, apabila gaji melebihi rm600 tetapi tidak melebihi rm700, rm11.35, rm3.25, rm14.60, rm8.10. Jadual eis pekerja & majikan 2022. Wajib tahu cara pengiraan sebenar epf socso supaya tak ditipu oleh. Caruman pekerja ditolak daripada gaji mereka dan dibayar kepada kwsp bersama caruman majikan.
Pengurangan kadar caruman kumpulan wang simpanan pekerja (kwsp) daripada 11 peratus kepada tujuh peratus di bawah pakej rangsangan ekonomi jadual caruman kwsp 2021 11 peratus pdf. Kadar caruman bulanan (jadual ketiga).

Wajib tahu cara pengiraan sebenar epf socso supaya tak ditipu oleh. Kadar caruman bagi majikan dan pekerja terkini yang berkuat kuasa mulai gaji/ upah januari 2021 boleh . Kadar caruman bulanan (jadual ketiga). Walaupun kebiasaannya kadar caruman dikira mengikut peratusan .

Caruman pekerja sebanyak 11% dipotong daripada gaji bulanan mereka; Kadar caruman bulanan yang dinyatakan dalam bahagian ini hendaklah terpakai bagi pekerja yang berikut sehingga pekerja itu mencapai umur. Untuk pekerja yang menerima upah/gaji . Kadar caruman bagi majikan dan pekerja terkini yang berkuat kuasa mulai gaji/ upah januari 2021 boleh . Hendaklah dikira pada 11% daripada amaun upah bagi bulan itu, dan kadar . Jadual eis pekerja & majikan 2022.
.png?resize=650,400)
Pengurangan kadar caruman kumpulan wang simpanan pekerja (kwsp) daripada 11 peratus kepada tujuh peratus di bawah pakej rangsangan ekonomi . Walaupun kebiasaannya kadar caruman dikira mengikut peratusan .

Download jadual ketiga jadual caruman kwsp 2020 pdf png kwspblogs.
Kadar dan jadual caruman untuk sip & socso oleh pekerja dan majikan di . Kadar caruman bagi majikan dan pekerja terkini yang berkuat kuasa mulai gaji/ upah januari 2021 boleh . Jadual eis pekerja & majikan 2022. Walaupun kebiasaannya kadar caruman dikira mengikut peratusan . 11, apabila gaji melebihi rm600 tetapi tidak melebihi rm700, rm11.35, rm3.25, rm14.60, rm8.10. Untuk pekerja yang menerima upah/gaji .

Caruman pekerja ditolak daripada gaji mereka dan dibayar kepada kwsp bersama caruman majikan.

Untuk pekerja yang menerima upah/gaji .
Post a Comment